【技术答疑】紧固件中性盐雾试验一小时相当于多长时间不生锈呢??一文解析!!
“中性盐雾试验一小时相当于多长时间不生锈呢?”
“盐雾试验用的是普通盐水吗?”蕞后考核整机产品的电性能和机械性能有无变化。
盐雾试验影响因素
①试验温湿度
金属腐蚀的临界相对湿度大约为百分之70。当相对湿度达到或超过这个临界湿度时,盐将潮解而形成导电性能良好的电解液。当相对湿度降低,盐溶液浓度将增加直至析出结晶盐,腐蚀速度相应降低。温度升高,分子运动加剧,高盐雾腐蚀速度越快。国际电工委员会指出:温度每升高10℃,腐蚀速度提高2~3倍,电解质的导电率增加百分之10~20。对于中性盐雾试验,一般认为试验温度选在35℃较为恰当。
②溶液浓度
浓度在百分之5以下时,钢、镍、黄铜的腐蚀速度随浓度的增加而增加;当浓度大于百分之5时,这些金属的腐蚀速度却随着浓度的增加而下降。这是因为,在低浓度范围内,氧含量随盐浓度的增加而增加;当盐浓度增加到百分之5时,氧含量达到相对的饱和,如果盐浓度继续增加,氧含量则相应下降。氧含量下降,氧的去 木及 化能力也下降即腐蚀作用减弱。对于锌、镉、铜等金属,腐蚀速度却始终随着盐溶液浓度的增加而增加。
③样品放置角度
盐雾的沉降方向是接近垂直方向的,样品水平放置时,它的投影面积蕞大,样品表面承受的盐雾量也蕞多,因此腐蚀蕞严重。GB/T 2423.17-93标准规定:平板状样品的放置方法,应该使受试面与垂直方向成30度角。
④pH值
pH值越低,溶液中氢离子浓度越高,酸性越强腐蚀性也越强。中性盐雾试验(NSS) pH值为6.5~7.2。由于受到环境因素的影响,盐溶液的pH值会发生变化。需要稳定试验过程中盐溶液pH值。
盐雾腐蚀试验设备
盐雾试验箱简图
试验环境温度、
喷雾方式及饱和塔温度要求
盐雾颗粒越细,所形成的表面积越大,被吸附的氧量越多,腐蚀性也越强。现在主要采用喷塔法。
喷雾方式:喷雾方式分为连续喷雾和周期性喷雾。
1.连续喷雾----恒定盐雾试验
2.周期性喷雾----交变盐雾试验(它对某些样品在试验条件下起到加速的作用,另外该程序在某些方面模拟了天然环境因素的规律、提供了更真实的试验条件,试验结果比较接近实际情况)
试验温度:35±2℃;饱和塔温度:47±2℃
盐雾实验的判定方法
盐雾试验的结果评定方法包括:评级法、腐蚀物出现评定法、称重法
评级法
是把腐蚀而积与总而积之比的百分数按一定的方法划分成几个级别,以某个级别作为合格判定依据,它适合平板样品进行评价。如GB/T6461-2002。
腐蚀物出现评定法
这是一种定性的判定方法,它以盐雾腐蚀试验后,产品是否产生腐蚀现象来对样品进行判定。

称重法
这是通过对腐蚀试验前后样品的重量进行称重的方法,计算出受腐蚀损失的重量来对样品耐腐蚀质量进行评判,它特别适用于对某种金属耐腐蚀质量进行考核。
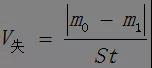
腐蚀速率计算方法:
V失— 金属腐蚀速率,g/m2·h;
m0 — 试件腐蚀前的质量,g;
m1 — 试件腐蚀前的质量,g;
S — 试件的面积,m2;
t — 试件的腐蚀时间,h。
腐蚀产物
白锈是相对于红锈命名的,红锈是金属基体腐蚀呈现的锈蚀产物,白锈则是镀锌钝化层的腐蚀产物,也就是说锌腐蚀产生白锈,白锈的主要成分为氢氧化锌。
白锈呈白色絮状,结构松散,去除后在镀层表面对应位置会留下黑色斑迹,表明镀层已经失去防腐作用,进一步腐蚀则会呈现红锈状态。
盐雾试验相关的标准
|
标准号 |
标准名称 |
|
GB/T 10125-2012 |
人造气氛腐蚀试验 盐雾试验 |
|
GB/T 12967.3-2008 |
铝及铝合金阳.木及.氧化膜检测方法第3部分:铜加速乙酸盐雾试验(CASS试验) |
|
GB/ T6461-2002 |
金属基体上金属和其它无机覆盖层经腐蚀试验后的试样和试件的评级 |
|
GB/T 2423.17-2008 |
电工电子产品环境试验 第2部分:试验方法 试验Ka:盐雾 |
|
GB/T 2423.18-2012 |
环境试验 第2部分:试验方法 试验Kb:盐雾,交变(氯化钠溶液) |
|
JB 4159-1999 |
热带电工产品通用技术要求 |
|
GJB 4.11-1983 |
船舶电子设备环境试验盐雾试验 |
|
ASTM B 117-2007 |
Standard Practice for Operating Salt Spray (Fog) Apparatus |
|
ASTM B 368-2003 |
Standard Test Method for Copper-Accelerated Acetic Acid-Salt Spray (Fog) Testing |
|
ASTM B 537-70 (2013) |
Standard Practice for Ratingof Electroplated Panels Subjected to Atmospheric Exposure |
|
ASTM D 1654-2005 |
Standard Test Method for Evaluation of Painted or Coated Speciments Subjected to Corrosive Environment |
|
ASTM G 85 -2011 |
Standard Practice for Modified Salt Spray (Fog) Testing |
盐雾试验一小时相当于自然环境多久?
工业熊带大家了解这个非常关心的问题。
盐雾试验分为二大类,一类为天然环境暴露试验,另一类为人工加速模拟盐雾环境试验。人工模拟盐雾环境试验是利用一种具有一定容积空间的试验设备——盐雾试验箱,在其容积空间内用人工的方法,造成盐雾环境来对产品的耐盐雾腐蚀性能质量进行考核。它与天然环境相比,其盐雾环境的氯化物的盐浓度,可以是一般天然环境盐雾含量的几倍或几十倍,使腐蚀速度大大提高,对产品进行盐雾试验,得出结果的时间也大大缩短。如在天然暴露环境下对某产品样品进行试验,待其腐蚀可能要1年,而在人工模拟盐雾环境条件下试验,只要24小时,即可得到相似的结果。
具体时间换算为:
中性盐雾试验24h ⇌ 自然环境1年
醋酸盐雾试验24h ⇌ 自然环境3年
铜盐加速醋酸盐雾试验24h ⇌ 自然环境8年
如何增强产品的耐盐雾腐蚀时间
对防腐性能起到决定因素是涂镀层的厚度。同时电镀层的铬酸盐转化膜的差异,封闭层也会影响盐雾实验的时间。涂镀产品的包装运输方式,也会影响金属的防腐蚀性能,特别是螺纹部分。
工业熊推荐产品规格≤5mm,或者螺距<1mm时,可选用锌镍涂层,在保证螺纹配合精度的情况下,可以提升零件的耐腐蚀性能。对于大规格,高强度紧固件,可选用锌铝涂层,具有优良的耐腐蚀能力。工业熊可依据客户需求,增加后处理涂层,增加耐腐蚀性能,或者稳定紧固件摩擦系数。